Les informations présentées sous cette rubrique ne le sont qu'à titre indicatif et en aucun cas ne peuvent être utilisées à but de santé publique ou pour une promotion.
Ces résultats représentent les différents screening effectués dans des prélèvements respiratoires dans notre laboratoire et ne peuvent donc être considérés comme représentatif des infections respiratoires circulant dans la communauté. Les statistiques présentées sont une vision brut de nos résultats et peuvent être modifiés ou ajustés en tout temps.
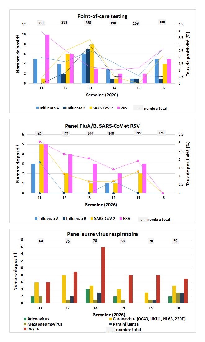
Les screenings sont effectués par RT-PCR sur différents types de prélèvements respiratoires incluant des frottis nasopharyngés et des prélèvements des voies respiratoires inférieures type lavage bronchoalvéolaire.
Le graphique ci-dessous concerne les virus respiratoires, en général qui inclut influenza et depuis le 29 août 2022, les valeurs du Covid-19.
Screening des virus respiratoires aux HUG, résultats hebdomadaires

- Archives virus respiratoires 2025
- Archives virus respiratoires 2024
- Archives virus respiratoires 2023
- Archives virus respiratoires 2022
- Archives virus respiratoires 2021
- Archives virus respiratoires 2020
- Archives virus respiratoires 2019
- Archives virus respiratoires 2018
- Archives virus respiratoires 2017
- Archives virus respiratoires 2016
- Archives virus respiratoires 2015
- Archives virus respiratoires 2014
- Archives virus respiratoires 2013
- Archives virus respiratoires 2012
- Archives virus respiratoires 2011
- Archives virus respiratoires 2010
- Archives virus respiratoires 2009